Os pitagoricos desejavam compreender a natureza íntima dos números, então elaboraram os
números figurados que são números expressos como reunião de pontos numa determinada configuração geométrica, isto é, a quantidade de pontos representa um número, e estes são agrupados de formas geométricas sugestivas.
Os diagramas abaixo trazem alguns
números figurados.
números triangulares
números quadrados
números pentagonais
Enunciaremos e provaremos alguns teoremas relativos a
números figurados, como era feito pelos pitagóricos:
- Teorema I: O número triangular
é igual à soma dos n primeiros inteiros positivos.
- Teorema II: Todo número quadrado é a soma de dois números triangulares sucessivos.
Observamos que um número quadrado na sua forma geométrica, pode ser dividido como na figura abaixo.
Vamos fazer a prova do teorema algebricamente. Seja o enésimo número triangular

, dado pela soma da progressão aritmética,
,
seja o enésimo número quadrado

igual à

. Temos
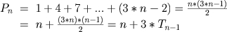
- Teorema III: o enésimo número pentagonal é igual a n mais três vezes o (n-1) - ésimo número triangular.
Seja o enésimo número pentagonal,

, dado pela soma de uma progressão aritmética.
- Teorema III: A soma dos n primeiros inteiros ímpares, começando com 1, é o quadrado de n.
Calculando a soma da progressão aritmética, temos:
que demonstra o teorema.